土壤有机质是陆地生态系统中重要的碳库之一,其微小的改变都可能影响到地球系统内温室气体的浓度的变化,进而影响到地球表面的温度。土壤有机碳周转速率的估算一直是土壤科学研究的重点和难点问题,特别是如何选择一个简洁、有效的参数来指示全球尺度上土壤有机碳的周转速率,一直还没有得到解决。
碳同位素(13C)能够指示土壤中碳的来源及周转途径。研究发现随着土壤深度的增加土壤碳同位素值逐渐升高,而土壤碳含量则逐渐降低。造成这种现象有如下原因:一是由于化石燃料燃烧使得大气中贫化的碳逐渐增多,造成13C贫化的有机物积累到土壤表面;二是根系的碳同位素比植物高出1-2个单位,使得底层土壤同位素高于表层土壤;三是微生物在分解土壤有机质的过程中对碳的分馏作用,造成12C通过呼吸离开系统,而13C则大量累计到土壤中,形成随着深度增加土壤碳同位素信号逐渐升高的趋势。大量的研究认为微生物分解土壤有机碳是造成土壤13C随深度升高的主要原因,并且这种趋势能够有效的指示土壤碳的周转速率。
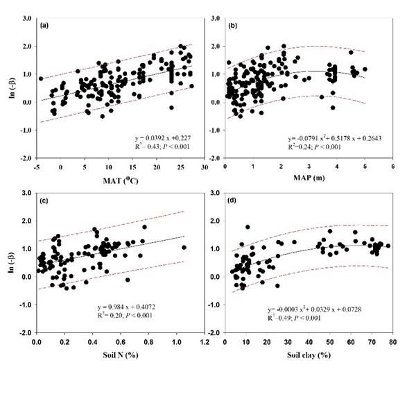
基于以上的研究,中国科学院沈阳应用生态研究所生物地球化学组助理研究员王超及其合作者,分析了中国北方草地27个土壤剖面碳同位素和碳含量的变化特征,同时整理了全球149个1米深度的土壤剖面数据后发现:(1)所有剖面上碳同位素值逐渐升高而含量逐渐降低,两种呈现显著负相关性,并且证明了这种负相关性能够很好的指示土壤碳的周转速率;(2)在全球尺度上土壤有机碳的周转速与植物凋落物的周转速率存在显著正相关性;(3)气候因子结合土壤理化性质能够很好的解释土壤有机碳周转的变化速率。本研究的结果为区域和全球尺度上土壤碳的周转提供了研究思路,同时也为生物地球化学模型提供了新的参数数据。
以上研究成果以Stable isotopic constraints on global soil organic carbon turnover 为题发表于Biogeosciences上。王超为第一作者,白娥研究员为通讯作者。研究得到了青年973项目、国家自然科学基金、中国科学院前沿科学重点研究项目和中国科学院青年创新促进会的支持。

图1. 全球范围内1米深度土壤剖面的分布图

图2. 全球土壤碳周转速率beta与凋落物和根系分解速率k的回归分析

图3. 土壤有机碳分解速率与气候因子及土壤因子的回归分析